Sistemas de ecuaciones: método de igualación
- Detalles
- Categoría: 1º Bachillerato
- Publicado el Viernes, 03 Febrero 2012 01:39
- Escrito por Mariano Herrero
Vamos a explicar el método de igualación a un sistema de dos ecuaciones lineales con dos incógnitas; para sistemas más complejos se emplea otros métodos.
Sistemas de dos ecuaciones con dos incógnitas
Método de igualación: Consiste en despejar una de las incógnitas (la misma) de las dos ecuaciones e igualar ambos resultados. De esta forma nos queda un sistema de una ecuación con una incógnita. Luego repetimos con la otra incógnita.
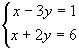
Ejemplo: Resolver el siguiente sistema: ![]()
Despejando primero la incógnita x de la primera ecuación: x = 1 + 3y
Despejando también la x de la segunda se obtiene: x = 6 – 2y
Igualando ambos valores x = 1 + 3y = 6 – 2y => 1 + 3y = 6 – 2y
Pasando lo que tenga la incógnita y al primer miembro y todo lo demás al segundo:
3y + 2y = 6 – 1 (haciendo las operaciones indicadas) ==> 5y = 5
Despejando la y (el 5 que está multiplicando pasa dividiendo) y = 5/5 = 1
Sustituyendo este valor de y en la x de la primera ecuación: x = 1 + 3y = 1 + 3·1 = 4.
Pero acabamos de sustituir (aplicado método de sustitución) y estamos explicando el método de igualación.
Por tanto repetimos el procedimiento pero ahora con la incógnita y:
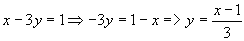
Despejando la incógnita y de la primera ecuación: ![]()
Despejando la y de la segunda: ![]()
Igualando ambos valores ![]()
Quitando denominadores (m.c.m. (3,2) = 6) obtenemos: 2(x – 1) = 3(6 – x)
Quitando paréntesis: 2x – 2 = 18 – 3x
Pasando lo que tenga la incógnita x al primer miembro y todo lo demás al segundo:
2x + 3x =18 + 2 (haciendo las operaciones indicadas) => 5x = 20
Despejando la x (el 5 que está multiplicando pasa dividiendo) x = 20/5 = 4
Por tanto la solución es x = 4; y = 1
Este método es el menos usado. Solo debemos usarlo cuando tengamos despejada la misma incógnita por sitios diferentes. Otros métodos son: por sustitución, reducción de una incógnita, escalera de Gauss.

