Sistemas de tres ecuaciones con dos incógnitas
- Detalles
- Categoría: 1º Bachillerato
- Publicado el Jueves, 10 Mayo 2012 01:09
- Escrito por Mariano Herrero
Aplicamos la teoría expuesta en el tema Sistemas lineales con más ecuaciones que incógnitas.
En este caso, puesto que tenemos dos incógnitas, se toman dos ecuaciones y se resuelve el sistema. Una vez hallada la solución se sustituye en la otra ecuación (la que no se ha utilizado).
Si se satisface el sistema es compatible. En caso contrario el sistema es incompatible (no tiene solución).
Ejemplo 1: Resolver el sistema:
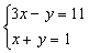
Puesto que hay tres ecuaciones y sólo dos incógnitas, tomamos el sistema formado por las dos últimas ecuaciones:
Utilizando el método de sustitución, despejando la y de la segunda ecuación: y = 1 – x.
Sustituyendo en la primera: 3x – (1– x) = 11 => 3x – 1 + x =11 => 4x = 12 => x = 12/4 = 3
Como y = 1 – x => y = 1 – 3 = – 2
Ahora reemplazamos estos valores en la ecuación que no hemos utilizado: 2x – 3y = 12 => 2·3 – 3·(–2) = 6 + 6 = 12
Satisface la ecuación, luego el sistema es compatible y la solución es: x = 3; y = – 2
Ejemplo 2: Resolver el sistema:
Disponemos de tres ecuaciones y sólo dos incógnitas, cogemos el sistema formado por las dos últimas:
Empleando el método de sustitución, despejando la x de la segunda ecuación: x = 4 – y.
Sustituyendo en la primera: 2(4 – y) + 3y = 9 => 8 – 2y +3y = 9 => y = 1
Como x = 4 – y => x = 4 – 1 = 3
Ahora reemplazamos estos valores en la ecuación que no hemos utilizado: 3x – 2y = 10 => 3·3 – 2·1 = 9 – 2 = 7 ≠ 10
No satisface la ecuación, luego el sistema es incompatible y no tiene solución.

