Ecuaciones diofánticas
- Detalles
- Categoría: 1º Bachillerato
- Publicado el Miércoles, 27 Marzo 2013 15:49
- Escrito por Mariano Herrero
Ecuación diofántica es una ecuación algebraica (en general de varias variables) con coeficientes enteros de la que únicamente se buscan las soluciones enteras. Su nombre se debe al matemático griego Diofanto de Alejandría
Vamos a estudiar las más sencillas que son las ecuaciones lineales con dos incógnitas de la forma: Ax + By = C
Esta ecuación tiene en general, infinitas soluciones, pero las ecuaciones que aparecen en los problemas tienen ciertas condiciones que limitan con frecuencia a un pequeño número e incluso a veces a una única solución.
Basándonos en el Lema de Bézout, se deduce que la condición necesaria y suficiente para que estas ecuaciones tengan soluciones enteras es que el término independiente C sea divisible por el m.c.d. de A y B
Dividiendo la ecuación por el m.c.d (A,B) simplificamos la ecuación quedando: ax + by = c, donde a, b son primos entre sí.
Cómo hallar las soluciones
Para hallar la solución general, se necesita antes una solución particular.
Cómo hallar una solución particular
Euler, matemático genial, ideó un método sencillo y práctico. Consiste en despejar la incógnita que tenga el coeficiente más pequeño y efectuando el cociente de cada sumando, resultando una parte entera y un resto. Se agrupa por un lado la parte entera y por otra la fraccionaria (suma de los restos). Por ser la solución entera, esta fracción ha de ser un número entero, pero por ser tan sencilla, es fácil ver el valor que debe tomar la incógnita para conseguirlo. Obtenemos así la solución particular: x = α; y = β;
Ejemplo: Hallar una solución particular de la ecuación 15x + 65y = 35
Es importante simplificar si es posible: Dividiendo por 5 se obtiene: 5x + 13y =7
Despejamos la x por tener el coeficiente más pequeño x = (7–13y)/5.
Hacemos el cociente de cada uno de los sumandos: 7 dividido entre 5, nos corresponde 1 de cociente y 2 de resto => 7/5 = 1 + 2/5
13y dividido entre 5 nos da 2y de cociente y 3y de resto, => 13y/5 = 2y + 3y/5; por tanto x = (7-13y)/5.= 1 + 2/5 –2y –3y/5
Agrupando por una lado la parte entera y por otra la fraccionaria: x = (7–13y)/5.= 1 + 2/5 –2y –3y/5 = 1 –2y + (2-3y)/5
Este cociente
ha de ser entero; vemos que para y = –1, la fracción vale 1.
Luego x = 1 – 2(-1) + 1 = 4
Determinar la solución general
La ecuación es : ax + by = c
Puesto que x = α; y = β, es una solución => aα + bβ = c
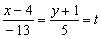
Restando y sacando factor común: a(x– α) + b(y – β) = 0 => a(x– α) = – b(y – β). Pero b y a son primos entre sí y se puede escribir como una proporción con coeficiente de proporcionalidad t : ![]()
Según esto, sustituyendo, la solución general del ejemplo es: x = 4 –13t; y = –1 + 5t
Solución General cuando la ecuación es ax – by = c
Realizando un proceso semejante conseguimos la solución paramétrica general: x = α + bt; y = β + at
No hace falta aprenderse la fórmula general, sólo seguir un proceso.
En el ejemplo tenemos la ecuación 5x + 13y =7 con la solución particular x = 4; y = –1
Estos valores deben satisfacer la ecuación: 5·4 + 13(-1) = 7
Restando 5(x –4) + 13(y + 1) = 0 => 5(x –4) = –13(y + 1)
=>
=> x = 4 –13t; y = –1 + 5t, que habíamos determinado mediante la solución general

