Ecuaciones irracionales
- Detalles
- Categoría: 1º Bachillerato
- Publicado el Domingo, 04 Diciembre 2011 03:02
- Escrito por Mariano Herrero
Son ecuaciones en las que la incógnita x aparece bajo el signo radical en alguno de sus términos.
Para resolver este tipo de ecuaciones, lo que hacemos es localizar (encontrar) otra ecuación más sencilla que sea equivalente.
Estas ecuaciones son complicadas, sobre todo si el índice del radical es superior a dos y hay más de un radical. Vamos a ceñirnos a aquellas que tienen índice dos (radicales cuadráticos). Distinguimos dos casos:
- Si solo tiene un radical, se aísla éste en un miembro, pasando todo lo demás al otro miembro; se elevan ambos miembros al cuadrado, con el fin de eliminar el radical. Se reducen términos semejantes y se resuelve la ecuación resultante.
- Si tiene más de un radical, se deja solo (aísla) uno de ellos en un miembro, pasando todo lo demás (radicales y no radicales) al otro miembro; ahora se elevan al cuadrado ambos miembros. Se reducen términos semejantes y se aísla el nuevo radical en un miembro, repitiendo el proceso cuantas veces sea necesario; por último se resuelve la ecuación resultante.
Cuando elevamos al cuadrado este tipo de ecuaciones, se introducen soluciones extrañas (las que se obtienen cambiando de signo a uno de los miembros de la ecuación), por lo que es preciso comprobar si las soluciones obtenidas satisfacen la ecuación dada.
Para elevar al cuadrado debemos tener en cuenta el cuadrado de una suma: (a + b)2 = a2 + 2ab + b2 (cuidado con el doble producto que se olvida). Y también el cuadrado de una diferencia: (a – b)2 = a2 – 2ab + b2
Ejemplo 1: Resolver ![]()
Tiene un solo radical que ya está aislado (solo) en un miembro; elevamos al cuadrado los dos miembros:
==> 2x + 3 = 25 (pasando el 3 al otro miembro con signo “–“):
2x = 25 – 3 ==> 2x = 22 (el 2 que esta multiplicando a la x pasa dividiendo) ==> x = 22/2 = 11.
Comprobamos la solución:
Luego x = 11 es solución.
Ejemplo 2: Halla la solución de la ecuación
Tiene dos radicales, uno de ellos ya está aislado; elevamos al cuadrado los dos miembros para que desaparezca el radical del segundo miembro que habíamos aislado: Cuidado que el primer miembro es el cuadrado de una diferencia (cuadrado del primero – doble del primero por el segundo + cuadrado del segundo)
Aislamos de nuevo el radical que queda, traspasando x + 2 al primer miembro con signo “–" y el radical al segundo miembro; se reducen términos semejantes y se simplifica dividiendo por 2.
![]()
Elevando al cuadrado los dos miembros de nuevo
==> x2 + 6x + 9 = 4(3x + 4) (cuando se eleva al cuadrado un producto, se eleva cada uno de los factores).
Quitando paréntesis x2 + 6x + 9 = 12x + 16
Traspasando términos al primer miembro x2 + 6x – 12x + 9 – 16 = 0 ==> x2 – 6x –7 = 0, ecuación de segundo grado que obtenemos como soluciones x = 7 y x = –1
Comprobamos las soluciones:
Con x = 7 =>
=> Solución: x = 7
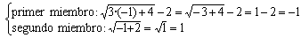
Con x = –1 =>
=> x = –1 NO es solución
Por tanto la única solución válida es x = 7

