Ejercicio de recta y plano Castilla la Mancha paeg 2012
- Detalles
- Categoría: 2º Bachillerato
- Publicado el Lunes, 23 Julio 2012 17:41
- Escrito por Mariano Herrero
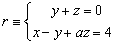
Dado el plano π ≡ 2x – z = 6 y la recta
a) Determina el valor del parámetro a € R para que π y r sean paralelos.
b) Para el valor de a del apartado anterior, da la ecuación general del plano π´ que contiene a r y es perpendicular a π.
PAEG junio 2012 Castilla la Mancha Matemáticas II propuesta B
Solución: a) Una recta y un plano se cortan, son paralelos o la recta está contenida en el plano.
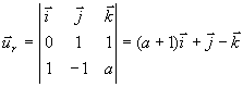
Los vectores
son el vector director de la recta y el vector característico del plano (normal al plano) respectivamente.
Puesto que la ecuación de la recta nos la dan en coordenadas cartesianas como intersección de dos planos, su vector director será el vector del producto vectorial de los planos que la componen (0, 1, 1) y (1, –1, a): 
Para que la recta y el plano sean paralelos o bien la recta esté contenida en el plano (producto escalar igual a CERO) => 2(a +1) + 0 + (–1)( –1) = 0 => 2a + 3 = 0 => a = –3/2.
Para comprobar si la recta y el plano son paralelos o bien el plano contiene a la recta, tomamos un punto cualquiera de la recta: de la 1ª ecuación si y = 0 => z = 0 y entrando en la 2ª con estos valores obtenemos x = 4. Luego un punto de r es: R(4, 0, 0).
Veamos si pertenece al plano: 2·4 – 0 = 8 ≠ 6 , luego no pertenece al plano y por consiguiente la recta y el plano son paralelos.
(Si el punto pertenece al plano, entonces el plano contiene a la recta).
b) El haz de planos π´ que contiene a la recta es: x – y –3/2z – 4 + k(y + z) = 0 => x + (k–1)y + (k–3/2)z – 4 = 0
Para que los planos π y π´ sean perpendiculares el producto escalar de sus vectores característicos ha de ser 0 => 2·1 + 0·(k–1) + (–1)(k – 3/2) = 0 => 2 – k + 3/2 = 0 => k = 7/2
Sustituyendo k en el haz: π´ ≡ x – (7/2 – 1)y + (7/2 – 3/2)z – 4 = 0 => π´ ≡ x – 5/2y + 2z – 4 = 0.
Multiplicando por 2 queda π´ ≡ 2x – 5y + 4z – 8 = 0.
Otra forma de hacer esta segunda parte: plano π´ definido por un punto y dos vectores:
– Para que contenga a la recta:
– un punto cualquiera de la recta R(4,0,0) hallado antes.
– vector director de la recta r, que sustituido con a = –3/2 y multiplicando por 2 es (–1, 2, –2),
– para que sea perpendicular a π: su vector característico (perpendicular al plano): (2,0,–1).


