Discusión y solución de sistemas por Gauss
- Detalles
- Categoría: 2º Bachillerato
- Publicado el Lunes, 26 Noviembre 2012 19:23
- Escrito por Mariano Herrero
Sea un sistema de m ecuaciones con n incógnitas: 
Utilizando el método de Gauss, la primera ecuación queda igual y las demás se van escalonando con otros coeficientes cij (en cada escalonamiento, la ecuación tiene una incógnita menos).
En general el sistema escalonado resultante será n ecuaciones con n incógnitas, pues según se deduce del Tma de Rouché-Frobenius no puede haber más ecuaciones que incógnitas (el propio método de Gauss se encarga de eliminar las ecuaciones combinación lineal de otras; se eliminan ecuaciones de la forma 0xi = 0). Puede haber menos ecuaciones que incógnitas
Este método según se va generando el sistema triangular escalonado nos permite discutir el sistema. Si depende de un parámetro debemos estudiar todas las posibilidades donde aparezca en la diagonal principal, ya que en ésta no puede haber ningún CERO.
Discusión del sistema
● Si según se va reduciendo a la forma escalonada aparece alguna ecuación del tipo 0xi = d con d ≠ 0, el sistema es incompatible y no tiene solución.
● En caso contrario el sistema es compatible. Sea r el rango, el número de ecuaciones linealmente independientes (eliminadas las de la forma 0xi = 0, si las hubiera).
- Si r = n (nº de ecuaciones = nº de incógnitas) el sistema es compatible determinado con solución única.
- Si r < n (nº de ecuaciones < nº de incógnitas) el sistema es indeterminado. Las incógnitas xi dependerán de (r – n) parámetros.
Ejemplo: Discute el sistema
según los valores del parámetro a y resolverlo cuando a = –2
Resolviendo por Gauss: 
Resolviendo la ecuación de segundo grado: 2 –a – a2 = 0 ==> – a2 –a + 2 = 0 => soluciones: a = 1 y a = –2.
Con a = 1, la 2ª fila tiene la forma 0xi = –1, y el sistema es incompatible (rango (A) = 1; rango (A/B) = 2).
Con a = –2, la 3ª fila es 0xi = 0, el sistema es indeterminado (rango (A) = rango (A/B) = 2 < nro. de incógnitas)
Si (a ≠ 1 y a ≠ –2) el sistema es compatible determinado (rango (A) = rango (A/B) = 3 = nro. de incógnitas).
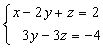
Para a = –2 el sistema equivalente es: ![]()
Puesto que tenemos un sistema de 2 ecuaciones y 3 incógnitas, la solución del sistema depende de un parámetro t. Llamamos z = t,
Y haciendo uso del método de sustitución, de la 2ª ecuación, despejamos la y: 3y = 3z –4 => 3y = 3t –4 => y = (3t –4)/3 => y = t –4/3.
Si con estos valores entramos en la 1ª ecuación: x –2(t –4/3) + t = 2 => x = t – 2/3
Solución : x = t – 2/3; y = t –4/3; z = t

