Sistema lineal 5x3 dependiente de dos parámetros
- Detalles
- Categoría: 2º Bachillerato
- Publicado el Lunes, 10 Junio 2013 17:57
- Escrito por Mariano Herrero
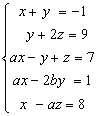
Dado el sistema de ecuaciones
, determinar a y b que hagan que el sistema sea compatible determinado, sabiendo que a es un número entero. Resolver el sistema.
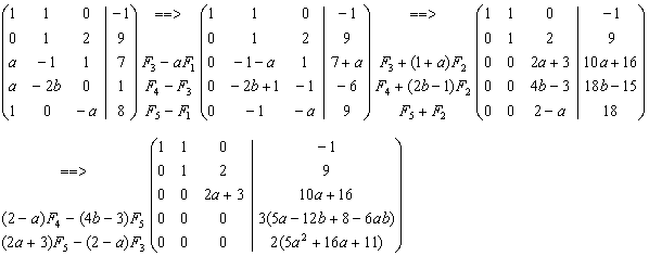
En este caso proponemos un sistema de 5 ecuaciones con 3 incógnitas (más ecuaciones -5- que número de incógnitas) dependiente de dos parámetros. Se resuelve por el método de Gauss, con el objetivo de determinar no solo los rangos de la matriz de coeficientes y de la matriz ampliada, sino también el sistema equivalente escalonado correspondiente.
Según indica el Tma de Rouche-Frobenius para que sea compatible determinado el rango(A) = rango(A/B) = 3 = número de incógnitas.
Para ver los rangos y resolver el sistema, buscamos CEROS por debajo de la diagonal principal, con las trasformaciones que en cada paso se indican
Para mejor comprensión desarrollamos paso a paso las trasformaciones de las filas 4ª y 5ª de la 4ª columna (columna de términos independientes)
4ª fila => (2–a)F4 – (4b–3)F5 = (2–a)(18b–15) – (4b–3)18 = 36b –30 –18ab +15a –72b + 54 = 15a –36b +24 –18ab = 3(5a –12b + 8 –6ab)
5ª fila =>(2a +3)F5 – (2–a)F3 = (2a +3)18 –(2–a)(10a+16) = 36a +54 – (20a + 32 –10a2 –16a) = 36a +54 –20a –32 +10a2 +16a = 10a2 + 32a +22 = 2(5a2 + 16a +11)
Si 2a + 3 = 0 => a = –3/2 => Si a = –3/2 rango(A) = 3; rango(A/B) ≥ 3 (máximo 4)
Para que el sistema sea compatible determinado (rango(A/B) = 3) las dos últimas columnas del término independiente han de ser CERO: 2(5a2 + 16a +11) = 0 y 3(5a –12b + 8 – 6ab) = 0
5a2 + 16a +11 = 0, ecuación de segundo grado cuyo coeficiente del término en a es 16 (par), con soluciones a1 = –1 y a2 = –11/5 => 5(a +1)(a + 11/5) = 0.
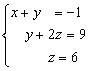
La única solución entera es a = –1; sustituyendo en la otra ecuación con a = –1 => 5(–1) – 12b + 8 –6(–1)b = 0 => – 5 – 12b + 8 + 6b = 0 => 3 –6b = 0 => b = 1/2.
Con estos valores el sistema equivalente es:
Por sustitución, en la 2ª ecuación hacia arriba: y + 2·6 = 9 => y = –3;
De manera análoga en la 1ª ecuación: x + (–3) = –1 => x = –1 + 3 => x = 2
Solución: x = 2; y = –3; z = 6

