Sistema dependiente de un parámetro. Paeg Madrid junio 2013
- Detalles
- Categoría: 2º Bachillerato
- Publicado el Sábado, 04 Enero 2014 18:28
- Escrito por Mariano Herrero
Dado el sistema de ecuaciones lineales:
se pide:
a) Discutirlo según los valores de a.
b) Resolverlo en el caso a = 4.
c) Resolverlo en el caso a = 2. Paeg Madrid junio 2013 Matemáticas II
Tenemos dos métodos interesantes para resolverlo: Uno por determinantes, donde una vez discutido el sistema, debemos por Cramer resolver el sistema dos veces, una para a = 4 y otra para a = 2. El otro método es por Gauss, que para éste ejercicio considero más efectivo (el parámetro sólo aparece en dos posiciones), pues a la vez que estudiamos su discusión casi tenemos resueltos los dos sistemas.
a) Para facilitar la tarea se van a intercambiar filas y columnas para que el parámetro a no aparezca en la diagonal principal y evitar posibles problemas con el rango.
Nota: Al permutar las columnas 1ª y 3ª, también se permutan la incógnitas x con la z
x y z x y z z y x z y x z y x

Utilizando Teorema de Rouche-Frobenius y discusión de sistemas por Gauss:
Nos fijamos en el elemento de la matriz de coeficientes a33 = 2 – a2 – a. Resolviendo esta ecuación de segundo grado nos da como soluciones a = 2 y a = –1
Por tanto si a = 2 ó a = –1 => rango(A) = 2
si a ≠ 2 y a ≠ –1 => rango(A) = 3
Para la matriz ampliada: Nos fijamos en el elemento a34 = 20 –10a.
Para a = 2 => 20 –10a = 0, y el rango es 2
Así pues si a = 2 => rango(A) = rango(A/B) = 2 < nº incógnitas => S. C. Indeterminado
Por Gauss nos queda la última fila 0, 0, 0 Ι 0, que podemos suprimir obteniendo un sistema indeterminado de 2 ecuaciones con tres incógnitas.
Para a = –1 => 20 –10a = 20 + 10 = 30 ≠ 0 y el rango (A/B) = 3 ≠ rango(A) = 2 => Sistema incompatible.
Por Gauss la 3ª fila resulta 0, 0, 0 Ι 30, que indica una situación absurda => Sistema incompatible
Resumiendo:
- Si a ≠ 2 y a ≠ –1 => rango(A) = rango (A/B) = 3 = nº incógnitas => S. C. Determinado (solución única)
- si a = 2 => rango(A) = rango (A/B) = 2 < nº incógnitas => S. C. Indeterminado (infinitas soluciones)
- si a = –1 => rango(A) = 2 ≠ rango (A/B) = 3 => Sistema incompatible.
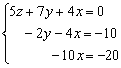
b) Para a = 4 el sistema obtenido es: 
Por el método de sustitución hacia arriba: De la 3ª ecuación: –10x = – 20 => x = 2.
Entrando en la 2ª con x = 2: –2y – 4·2 = –10 => y = 1.
Con los valores de x = 2 e y = 1 sustituimos en la 1ª: 5z + 7·1 + 4·2 = 0 => z = 3
Solución para a = 4: x = 2; y = 1; z = 3
c) Para a = 2 el sistema equivalente es: ![]()
Simplificando la 2ª ecuación queda: y + x = 5 => x = 5 – y. Puesto que el sistema es indeterminado, dependerá de un parámetro t: haciendo el cambio y = t => x = 5 – t.
Sustituyendo los valores de x e y en la 1ª ecuación: 5z + 7t + 2(5 – t) = 0 => 5z + 7t + 10 – 2t = 0 => 5z + 5t + 10 = 0 => z = –2 – t
Luego solución para a = 2: x = 5 – t; y = t; z = –2 – t

