Ejercicio de análisis. Paeg 2011 Madrid
- Detalles
- Categoría: 2º Bachillerato
- Publicado el Domingo, 11 Diciembre 2011 01:51
- Escrito por Mariano Herrero
Se considera la función real de variable real definida por: f(x) = 2x3 + ax2 + bx − 6.
a) Calcúlense a, b para que la función f tenga un máximo relativo en x = 1 y un mínimo relativo en x = 2.
b) Para a = b = 0, calcúlese el área del recinto plano acotado limitado por la gráfica de f y la recta de ecuación y = 8x − 6.
Comunidad Madrid paeg 2011.
a) Para hallar los máximos y mínimos tenemos que derivar: f'(x) = 6x2 + 2ax + b
Igualando a cero => 6x2 + 2ax + b = 0
Como f tiene máximo relativo en x = 1 y mínimo relativo en x = 2, significa que x = 1 e x = 2 son raíces de dicha ecuación; por tanto la satisfacen.
Para x = 1 => 6 + 2a + b = 0 => 2a + b = − 6
Para x = 2 => 6·22 + 4a + b = 0 => 4a + b = − 24
sistema de dos ecuaciones con dos incógnitas que tiene por solución a = − 9, b = 12.
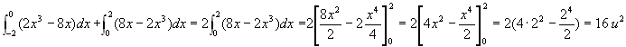
b) Si a = b = 0, f(x) = 2x3 − 6. Para hallar el área limitada por esta función y la recta y = 8x − 6
tenemos que determinar los puntos de intersección de ambas. Para ello resolvemos la ecuación polinómica 2x3 − 6 = 8x − 6 => 2x3 − 8x = 0 => x(2x2 − 8) = 0 cuyas soluciones son − 2, 0 y 2. Ver gráfica.

Cuidado: no podemos integrar entre –2 y 2, pues entre –2 y 0 la función está por encima de la recta y entre 0 y 2 está por debajo y el área nos daría CERO (pues la función diferencia 2x3 − 8x es impar y las dos áreas son iguales).
Luego el área pedida es:
![]()

