Repartos proporcionales
- Detalles
- Categoría: ESO
- Publicado el Domingo, 20 Enero 2013 19:04
- Escrito por Mariano Herrero
Como la propia palabra indica consiste en distribuir o prorratear un cierto número N en partes proporcionales a otros varios y diversos. Podemos encontrarnos con repartos directos, inversos o compuestos (hay dos o más series de números).
Vamos a estudiar cada uno de ellos.
Repartos proporcionales directos
Se trata de repartir un cierto número N en partes directamente proporcionales a varios otros, hallando números proporcionales a estos cuya suma sea igual al total N.
La estrategia para resolver estos problemas se basa en:
- La suma de las cantidades repartidas ha de ser igual al total.
- La suma de las fracciones que corresponde a cada uno deben sumar 1.
Sea N el número a repartir directamente proporcional a los números a, b, c; y sea x, y, z la parte correspondiente a cada uno.
Entonces se verifica que:
con la condición: x + y + z = N
Por una propiedad de las fracciones equivalentes (suma de numeradores/ suma de denominadores) es equivalente a cualquiera de las fracciones anteriores:
(coeficiente de proporcionalidad)
Si tomamos la primera fracción y la última y despejamos: x = aN/(a + b+c) = a·k
De la segunda y la última: y = bN/(a + b+c) = b·k
Por último de la tercera y la última: z = cN/(a + b+c) = c·k.
Se ha realizado el proceso para 3 particiones pero puede ser cualquier otra.
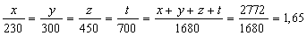
Ejemplo: Se quiere distribuir 2772 euros a cuatro transportistas directamente proporcional al kilometraje que ha realizado cada uno, que son 230, 300, 450 y 700 kilómetros respectivamente. Averigua cuánto corresponde a cada uno.
Se trata de un reparto directamente proporcional. Por tanto sea x, y, z, t, la parte correspondiente a cada uno; según la teoría anterior:
(razón o coeficiente de proporcionalidad.
Fijándonos en las proporciones obtenemos: x/230 = 1,65 => x = 230·1,65 = 379,5 €.
y/300 = 1,65 => y = 300·1,65 = 495 €.
z/450 = 1,65 => z = 450·1,65 = 742,5 €.
t/700 = 1,65 => t = 700·1,65 = 1155 €.
Como vemos, para repartir un número N en partes directamente proporcionales a otros varios, se multiplica cada uno de éstos por el coeficiente de proporcionalidad k.

