Ecuaciones de primer grado
- Detalles
- Categoría: ESO
- Publicado el Sábado, 26 Noviembre 2011 01:56
- Escrito por Mariano Herrero
¿A qué llamamos ecuación de primer grado con una incógnita?
Es una ecuación en la que, después de quitar denominadores y suprimir paréntesis, sólo aparece una incógnita y con exponente uno.
Su forma general es: ax + b = 0 a, b € R , a ≠ 0
Ejemplo: Son ecuaciones de primer grado con una incógnita: 4x + 3 = 6 2 (x + 1) = 3x – 5
Una ecuación está resuelta cuando, mediante transformaciones, conseguimos que la incógnita quede sola en un miembro.
Pasos a seguir para resolver una ecuación de primer grado:
Quita los denominadores, multiplicando por su m.c.m. ambos miembros, y después simplifica las fracciones obtenidas
Quita los paréntesis, aplicando la propiedad distributiva, y ten en cuenta que un signo menos delante de un paréntesis (o de una fracción) cambia el signo de todos los términos que se encuentren dentro de él (o de la fracción).
Reduce términos semejantes cuando sea posible.
Pasa todos los sumandos en los que aparezca la incógnita a un mismo miembro de la ecuación, dejando en el otro todo lo demás, teniendo en cuenta que al traspasar un término de miembro este cambia de signo.
Reduce los términos semejantes.
Ejemplo 1: Resolver la ecuación: 2(3x – 1) – 5(2x + 3) = 3(4x–1)
No tiene denominadores. Quitamos los paréntesis, aplicando la propiedad distributiva:
El signo “−“ delante del "5" afecta a todo el paréntesis (a 2x y a 3): 6x – 2– l0x –15 = 12x – 3
Transponemos términos: 6x – 10x – 12x = 15 + 2 – 3 (en color los términos que cambian de miembro)
El término 12x que está en el segundo miembro ha pasado al primero con signo “–“; igualmente los términos –2 y –15 se traspasan al otro miembro con signo "+"
Reducimos los términos semejantes: – 16x =14
Despejamos la x (–16 que está multiplicando, pasa al otro miembro dividiendo) => x = 14/(–16) = –7/8 (se ha simplificado por 2).
Ejemplo 2. Resolver la ecuación ![]()
El 2 que precede a la 1ª fracción está multiplicándola; lo mismo ocurre con el 3 de la 2ª (quedando): ![]()
Quitamos denominadores; para ello pasamos a común denominador: m.c.m. (3, 2) = 6 y obtenemos:
se suprimen los denominadores y tenemos: 4(x – 2) – 9(6 – x) = 42
Quitamos los paréntesis (el signo “−“ del 2º paréntesis afecta a todo lo que está dentro del paréntesis): 4x – 8 – 54+ 9x = 42
Transponemos los términos: 4x + 9x = 42 + 54 + 8
Reducimos los términos semejantes: 13x = 104
Despejando (el 13 pasa dividiendo) x = 104/13 = 8
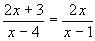
Ejemplo 3. Resolver ![]()
Aparentemente no parece una ecuación de primer grado. Aplicamos la propiedad fundamental de las proporciones (producto de extremos igual a producto de medios): (2x +3)(x –1) = 2x(x – 4)
Efectuando los productos: 2x2 – 2x + 3x – 3 = 2x2 – 8x
En los dos miembros aparece el término 2x2 con el mismo signo, por tanto podemos eliminarlo quedando: – 2x + 3x – 3 = – 8x
Transponemos los términos: – 2x + 3x + 8x = 3 => 9x = 3
Despejamos (para ello el 9 pasa dividiendo) x = 3/9 = 1/3

