Sistemas de ecuaciones
- Detalles
- Categoría: 1º Bachillerato
- Publicado el Viernes, 27 Enero 2012 11:17
- Escrito por Mariano Herrero
En general un sistema de ecuaciones es un conjunto de m ecuaciones (dos o más) con n incógnitas en las que estas son de grado uno o superior. El problema consiste en determinar o encontrar los valores que toman dichas incógnitas para que satisfagan todas las ecuaciones.
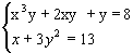
Así el sistema:
es un sistema de dos ecuaciones con dos incógnitas de grado 4, pues el término x3y es de grado 4. (3 de la incógnita x , + 1 de la y) donde una de sus soluciones es x = 1 e y = 2
Este tipo de sistemas de ecuaciones NO LINEALES son complejos y difíciles de obtener sus soluciones. En otro tema trataremos de solucionar algún sistema no lineal, resuelto con ejemplos.
Por tanto nos limitamos a estudiar sistemas de ecuaciones lineales
Sistemas de ecuaciones lineales
es un conjunto de m ecuaciones (al menos dos) con n incógnitas en las que el grado de éstas es uno.
Las letras que toman las incógnitas suelen ser x, y, z, t, por este orden. Si son dos incógnitas se toman x e y; si son tres incógnitas se toman x, y, z; en caso de cuatro x, y, z, t.
Cuando son cuatro o más se suele tomar la letra x con subíndices: x1, x2, x3x4, ..., xn
Nota: A veces no todas las m ecuaciones son relevantes (linealmente independientes) y en ese caso no añaden nada nuevo al sistema y podemos suprimirlas; en consecuencia puede haber:
- sistemas con más ecuaciones que incógnitas (m > n).
- sistemas con igual número de ecuaciones que de incógnitas (m = n).
- sistemas con más incógnitas que ecuaciones (m < n).
Soluciones de un sistema de ecuaciones
es un conjunto de números reales (valores) s1, s2, s3,..., sn que al sustituir respectivamente en las incógnitas x1, x2, x3,..., xn, verifican todas y cada una de las ecuaciones.
Resolver un sistema de ecuaciones
es hallar todas sus soluciones, si las tiene.
Para resolver estos sistemas nos basamos en obtener sistemas equivalentes que sean más sencillos.
Dos sistemas de ecuaciones son equivalentes cuando tienen las mismas soluciones.
Se obtienen sistemas de ecuaciones equivalentes:
-
Si se multiplica (divide) los dos miembros de una ecuación por un número (≠ 0)
-
Si se suma o resta a una ecuación otra u otras multiplicada/s por un número. (es lo que llamamos hacer una combinación lineal)
Discusión de un sistema de ecuaciones
Discutir un sistema es determinar si es compatible (solución única o infinitas soluciones) o incompatible (no hay solución), sin tener que resolverlo.
Los sistemas de ecuaciones pueden ser:
- Compatibles. Aquellos sistemas que tienen solución: Se dividen a su vez en:
- Compatibles determinados. Si tienen una única solución.
- Compatibles indeterminados. Si tienen infinitas soluciones.
- Incompatibles. Aquellos sistemas que no tienen solución.
Para comprobar cómo es un sistema usamos Rouché-Frobenius.
Pongamos un ejemplo de cada uno:
El sistema
es compatible determinado, pues la única solución es x = 2; y = 1
El sistema
es compatible indeterminado, pues tiene infinitas soluciones: una de ellas es x = 0; y = –3; otra solución es x = 4; y = –1; también es x = 8; y = 1. Fijarse que la segunda ecuación se consigue multiplicando la primera por 3 (es una combinación lineal de ella).
Si despejamos la x de la primera ecuación: x = 6 + 2y; si hacemos y = t, obtenemos x = 6 + 2t, que es la solución del sistema; dando valores a t conseguimos sus infinitas soluciones.
Por último el sistema
es Incompatible, pues el primer miembro de ambas ecuaciones son iguales, pero sin embargo el segundo es distinto (si dos ecuaciones son iguales no pueden dar resultados distintos) .
Métodos de resolución de sistemas de ecuaciones
Estudiaremos estos sistemas por diversos métodos: sustitución, reducción, igualación, Gauss, Cramer

