Sistemas de 3 ecuaciones con 3 incógnitas por sustitución
- Detalles
- Categoría: 1º Bachillerato
- Publicado el Domingo, 16 Diciembre 2012 16:31
- Escrito por Mariano Herrero
Resolver los sistemas: 
Este par de sistemas se resuelven por aplicación del método de sustitución.
a) Observamos que en la 2ª ecuación está despejada la y, por lo que sustituimos este valor en las otras ecuaciones obteniendo un sistema de dos ecuaciones con las incógnitas x y z (se ha eliminado la y):
Despejamos la x de la 2ª ecuación: x = 3 – z; ahora se reemplaza el valor de la x en la 1ª ecuación: 8(3 – z) + 4z = 4 => 24 – 8z + 4z = 4 => –4z = –20 => z = 5
Puesto que x = 3 – z = 3 – 5 = –2. Con estos valores sacamos el valor de y sustituyendo en la ecuación despejada del sistema primitivo: y = 2x + z = 2(–2) + 5 = 1.
Solución: x = –2; y = 1; z = 5
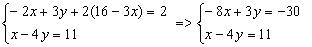
b) Se despeja la z de la segunda ecuación: z =16 – 3x; con este valor entramos en las otras ecuaciones (la tercera ecuación no tiene z, por consiguiente no se puede sustituir y se deja intacta) logrando 2 ecuaciones con dos incógnitas: ![]()
También se despeja la x de la 2ª ecuación: x = 11 + 4y; se entra con el valor de la x en la 1ª ecuación: –8(11 + 4y) + 3y = –30 => –88 – 32y + 3y = –30 => –29y =58 => y = –2.
Ya que x = 11 + 4y, (y = –2) => x = 11 + 4(–2) = 11– 8 = 3. Falta hallar el valor de z que habíamos despejado anteriormente: z =16–3x = 16 – 3·3 = 7.
Solución: x = 3; y = –2; z = 7

