Sistemas de 3 ecuaciones y 4 incógnitas
- Detalles
- Categoría: 1º Bachillerato
- Publicado el Jueves, 10 Enero 2013 20:44
- Escrito por Mariano Herrero
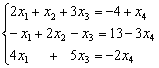
Resolver el sistema 
Nos topamos con un sistema de 3 ecuaciones y 4 incógnitas. Se puede resolver como se indica en el tema correspondiente (más incógnitas que ecuaciones), considerando la incógnita x4 como dato, traspasándola al segundo miembro y resolviendo el sistema de 3 ecuaciones con 3 incógnitas
por los métodos ya conocidos.
Una vez resuelto, a la incógnita x4 la hacemos igual a t.; las incógnitas x1, x2, x3, x4 en general dependerán del parámetro t.
Este sistema de 3 ecuaciones u otros similares con más ecuaciones o incógnitas se obtienen mejores resultados por el método de Gauss.
Para ello localizamos CEROS por debajo de la diagonal principal, dos en la primera columna y uno en la segunda, mediante las trasformaciones permitidas que se indican en cada caso:
==> y el sistema equivalente queda: 
Las tres ecuaciones son independientes, por lo que según las indicaciones del Tma. de Rouché-Frobenius el sistema es compatible indeterminado con un grado de libertad (4 ecuaciones – 3 ecuaciones linealmente independientes) y las incógnitas dependerán de un parámetro t; a la cuarta incógnita x4 (puede ser cualquiera) la igualamos a t => x4 = t
Para determinar las soluciones, por sustitución hacia “arriba”, despejamos x3 de la 3ª ecuación: x3 = (30x4 –84)/3 = 10x4 –28 = 10t –28
Con este valor entramos en la 2ª ecuación: 5x2 + (10t –28) + 5t = 22 => 5x2 + 15t = 50 => x2 = (50 –15t)/5 = 10 – 3t
Por último sustituyendo en la 1ª: 2x1 + (10– 3t) + 3(10t –28) – t = – 4 => 2x1 + 10 – 3t + 30t – 84 = – 4 => 2x1 +26t = 70 => x1 = (70 – 26t)/2 = 35 – 13t
Así pues la solución: x1 = 35 – 13t; x2 = 10 – 3t; x3 = 10t –28; x4 = t
Asignando valores a t tenemos las infinitas soluciones. Así si t = 3 => x1 = – 4; x2 = 1; x3 = 2; x4 = 3

